Anti-Calcium Activated Nucleotidase 1 (CANT1) Polyclonal Antibody
SCAN1; SHAPY; CAN1; Soluble Ca-Activated Nucleotidase,Isozyme 1; Apyrase homolog; Putative MAPK-activating protein PM09; Putative NF-kappa-B-activating protein 107
- UOM
- FOB US$ 132.00 US$ 220.00 US$ 352.00 US$ 440.00 US$ 770.00
- Quantity
Overview
Properties
- Product No.FAC357Hu01
- Organism SpeciesHomo sapiens (Human) Same name, Different species.
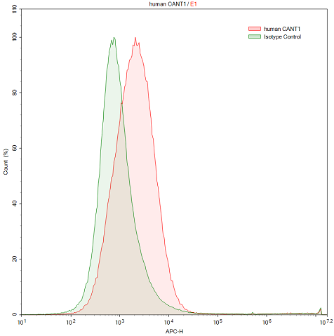
- ApplicationsFCM
Research use only - Downloadn/a
- CategoryEnzyme & KinaseMetabolic pathway
- Ig Type IgG, Potency n/a
- PurificationAntigen-specific affinity chromatography followed by Protein A affinity chromatography
- LabelNone
- Excitation LaserNone
- Vol. per test1-5 µl
- Buffer Formulation0.01M PBS, pH7.4, containing 0.05% Proclin-300, 50% glycerol.
- TraitsLiquid
Share your citation
Upload your experimental result
Review
Leave a message
Loading...
Sign into your account
Share a new citation as an author
Upload your experimental result
Review
Please attach serial No. on instruction manual

Contact us
Please fill in the blank.
Name*
Organization
Address
E-mail address*
Telephone
Inquiry*
Verification code*
Usage
For flow cytometry, the suggested use of this reagent is 1-5 µl per 10^6 cells in 100 µl volume.
Optimal working dilutions could be determined by end user.
Storage
Store at 4°C for frequent use. Stored at -20°C in a manual defrost freezer for one year without detectable loss of activity. Avoid repeated freeze-thaw cycles.
Giveaways
Increment services
-
Protein A/G Purification Column
-
Positive Control for Antibody
-
Tissue/Sections Customized Service
-
Phosphorylated Antibody Customized Service
-
Flow Cytometry (FCM) Experiment Service
-
Immunoprecipitation (IP) Experiment Service
-
Immunofluorescence (IF) Experiment Service
-
Buffer
-
DAB Chromogen Kit
-
SABC Kit
-
Isotype Control
-
Real Time PCR Experimental Service
